Měření kmene
Měření kmene
Délka
Délka výřezu se měří v metrech s přesností na 0,01m (1 cm). Jestliže se uvádí jmenovitá
délka, zaokrouhluje se celková délka výřezu směrem dolů na nejbližší stupeň jmenovité
délky. Stupeň jmenovité délky představuje nejčastěji 1 m. U výřezů se středovou
tlouškou do 20 cm (bez kůry) se může celková délka po dohodě mezi dodavatelem
a odběratelem zaokrouhlit na celé metry směrem dolů.
Průměr
Průměr (tlouška) se udává v cm v celých číslech (údaje za desetinnou čárkou se neuvažují).
Středová tlouška se měří ve středu výřezu, v určených případech je nahrazena
čepovou tlouškou, která se měří na čepu výřezu.
Středová tloušťka
Středová tlouška se měří ve středu jmenovité délky výřezu. Jestliže se v místě měření
vyskytuje výrazná nepravidelnost růstu, měří se středová tlouška na dvou místech,
která se nacházejí ve stejné (co nejmenší) vzdálenosti od původního místa měření před
a za nepravidelností růstu a středová tlouška se vypočítá jako aritmetický průměr.
U výřezu se středovou tlouškou do 20 cm se měří (při ručním měření) středová tlouš-
ka jedenkrát v horizontálním směru (rovina měření je rovnoběžná s povrchem země).
Jestliže má výřez oválný průřez, měří se středová tlouška ve dvou, na sebe kolmých
rovinách.
U výřezu se středovou tlouškou nad 20 cm se měří středová tlouška ve dvou na sebe
kolmých rovinách.
Čepová tloušťka
Čepová tlouška se měří na slabším konci výřezu (na čepu). Použití čepové tloušky pro
účely zjištění objemu měřené kulatiny musí být odsouhlaseno mezi dodavatelem
a odběratelem.
Postup měření je obdobný jako při měření středové tloušky.
Převod měření v kůře a bez kůry
Tlouška se měří v kůře nebo bez kůry. Jestliže se tlouška měří v kůře, použije se pro
převod měření v kůře na měření bez kůry tento postup:
Pro výpočet objemu výřezu je použita středová tlouška v kůře a objem výřezu je odvozen
podle tabulek, které vycházejí z ČSN 48 0009: Tabulky objemu kulatiny bez kůry
podle středové tloušky měřené v kůře (tabulky rozlišují tloušku kůry podle jednotlivých
dřevin a toto rozlišení je respektováno s výjimkou výřezů MD, které se zařazují do
skupiny BO oddenky).
Mezi dodavatelem a odběratelem může být dohodnuta i jiná srážka na kůru, o kterou
se sníží měřený průměr.
Měření tloušťky
Měří-li se tlouška v jednom směru, výsledek se vyjádří v celých centimetrech (údaje za
desetinnou čárkou se neuvažují).
Měří-li se tlouška ve dvou, na sebe kolmých směrech, každé měření se vyjádří v celých
centimetrech (údaje za desetinnou čárkou se neuvažují). Tlouška se vypočítá jako aritmetický
průměr ze dvou (resp. čtyřech) měření. Vypočtený aritmetický průměr se vyjádří
v celých centimetrech (údaje za desetinnou čárkou se neuvažují).
Měření středové tloušťky
Středová tlouška se měří nejméně na dvou místech tzv. měřící plochy, která činí 20 cm.
Měřící plocha musí být v místě středu délky výřezu rozprostřená na obě strany.
Technicky se může střed měřící plochy odlišovat od středu celkové délky výřezu
o ± 5 cm. Krajní měřící místa však mohou být vzdálena nejvýše 15 cm od skutečného
středu délky výřezu. Na každém měřícím místě se vypočítá aritmetický průměr nejméně
dvou měření. Jako střední průměr se použije nejmenší, takto získaná hodnota, vyjádřená
na celé centimetry (místa za desetinnou čárkou se neuvažují).
Průměry používané k výpočtu středního průměru musí být změřeny v úhlu cca 90° (průměr
ze dvou měření) nebo v úhlu cca 60° (průměr ze tří měření).
Měření čepové tloušky
Čepová tlouška se měří ve vzdálenosti do 10 cm od slabšího konce (čepu) výřezu. K výpočtu objemu jsou použity tabulky objemu výřezu podle čepové tloušky, měřeno bez kůry, ČSN 48 0008.
Měření délky
Délka se měří jako vzdálenost mezi čely výřezu. Jestliže je délka výřezu menší než
nejmenší dodací délka, početně se naměřená délka zmenší na nejbližší nižší dodací délku.
Přesunutí do nižšího délkového stupně při měření po zarovnání čela (čepu) je nepřípustné.
Výpočet objemu
Použití vzorce pro výpočet objemu bez kůry, měřené bez kůry
Pro výpočet objemu výřezu měřeného po odkornění nebo u výřezu s uplatněnou srážkou
na kůru při měření se používá vzorec:

Kde
|
Vbk |
je objem v m3 na dvě desettiná místa |
|
dbk |
středová tloušťka měřená bez kůry v cm |
|
l |
jmenovitá délka v metrech |
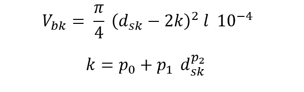
Použití vzorce pro výpočet objemu bez kůry, měřeno v kůře

Kde
|
Vbk |
je objem v m3 na dvě desettiná místa |
|
dsk |
středová tloušťka s kůrou v cm |
|
l |
jmenovitá délka v metrech |
|
k |
tloušťka kůry |
|
p0, p1, p2 |
parametry funkce |
|
|
p0 |
p1 |
p2 |
|
smrk |
0,57723 |
0,006897 |
1,31230 |
|
borovice - kůra |
0,24017 |
0,001915 |
1,78660 |
|
borovice - borka |
1,70150 |
0,008762 |
1,45680 |
|
buk |
-0,04088 |
0,166340 |
0,56076 |
|
dub |
1,24740 |
0,042323 |
1,06230 |